Metacognition
In my postdoc, I am focusing on computational models of metacognition to answer questions like “how do we know how confident to be?”, “how does confidence relate to judgments of possibility?”, and “how does confidence guide reasoning and decision-making?”. I am especially interested in interactions between metacognition (i.e., monitoring and controlling our thoughts and behaviors) and modal cognition (i.e., reasoning about alternative/hypothetical possibilities).
In one project, I helped to formalize a rational Bayesian model of confidence ratings that explains apparent biases in people’s metacognition (Łuczak, O’Neill, & Fleming, 2024). According to optimal theories of metacognition, people should rate confidence as the subjective probability that their decision was correct. So, when choosing between options, it is usually seen as best for people to choose the option with the most evidence and to rate their confidence as a function of the difference in evidence between the chosen and unchosen option (Panels A/C). But people’s actual confidence ratings tend only to vary as a function of the evidence for the option they chose (response congruent heuristic; Panel D), which instead resembles the optimal confidence rating for a detection task (Panel B).

Instead of treating this as a maladaptive bias, we found out that there was a rational explanation for people’s behavior; even when experimenters force people to choose between two options, people might be considering a broader hypothesis space. For example, if you are asked to choose whether a handwritten digit is a “4” or a “6”, previous theories suggest that you only consider these two options. But sometimes an image might nevertheless look like an “8”, even if you aren’t allowed to choose this option. If we take this into account, for a hypothesis space with K dimensions corresponding to each of K represented possibilities, we get optimal predictions of confidence that look increasingly like the response congruent heuristic (Panel A):

The other panels in this figure just confirm that this indeed reflects a positive evidence bias: the optimal confidence rating is more sensitive to changes in the evidence for the chosen option relative to unchosen options. I think this work is important for two reasons. First, it is a good example of a task in which what appears to be a suboptimal short-cut in people’s reasoning can actually be seen as an optimal solution to a different problem. Second, it points to a deep connection between how people represent alternative possibilities and how they rate confidence, which is something I’m hoping to explore further. For instance, I’m working on a theoretical framework defining metacognition as a kind of modal cognition, in which people can predict and intervene on a self-model to imagine what they would have thought or done if things had been different:

In addition to optimal theories of metacognition, I’ve also been diving into more practical issues concerning the measurement of metacognition. Following traditions in psychophysics, psychologists often seek ways to independently quantify different factors governing behavior. One common way to do this is to use signal detection theory: assuming that people noisily encode a presented stimulus, they make a judgment by comparing their encoded evidence to a response criterion. This results in two independent quantities: (a) sensitivitity, the average difference in encoded evidence depending on the stimulus, and (b) response bias, the overall tendency to make one response or the other. Using an extension of classical signal detection theory called the meta-d’ model, metacognition researchers also measure metacognitive sensitivitity, the degree to which confidence ratings are sensitive to decision accuracy (Maniscalco & Lau, 2012).
When its assumptions are met, this model tends to work well in terms of separating out metacognitive factors from cognitive factors. But fitting this model can tend to be complicated, requiring hand-coding for different experimental designs and lots of data wrangling to aggregate confidence ratings and produce model predictions. To alleviate this problem, I wrote the hmetad package in the programming language R, which allows users to fit the meta-d’ model in a Bayesian framework with a lmer-style R formula syntax through the package brms (O’Neill & Fleming, 2026). Since it is written in the probabilistic programming language Stan, the model is heavily optimized for efficiency and gives very informative convergence diagnostics. I’ve also included lots of functions for producing model predictions (e.g., mean confidence, receiver operating characteristic curves) that help with prior elicitation and posterior predictive checks. For example, the package makes it easy to make plots like these:

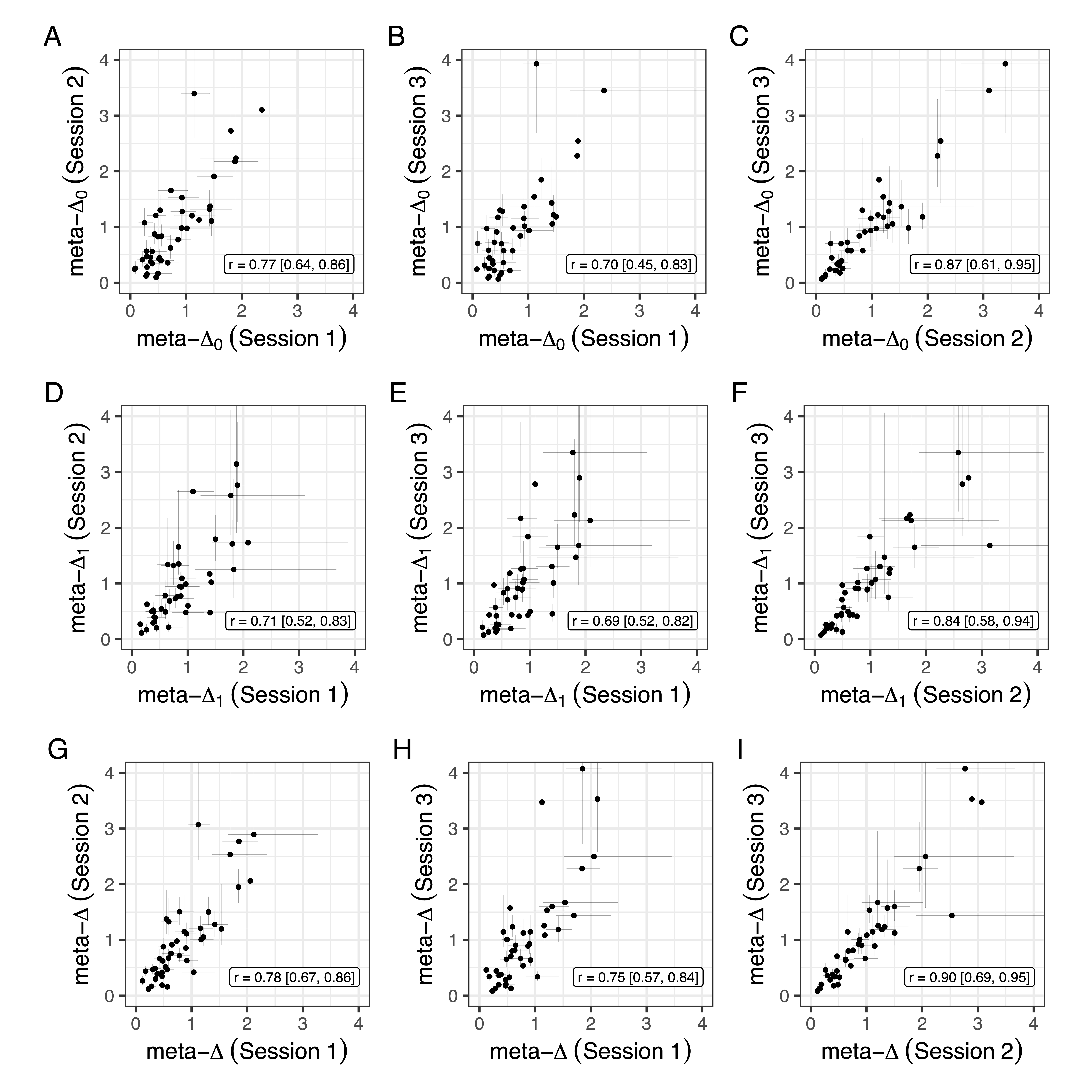
Finally, whereas most of the field’s attention has been turned to metacognitive sensitivity, I’ve been focusing on developing measures of metacognitive bias, i.e., one’s overall level of over- or under-confidence. The most common strategy for doing this in psychology is simply to take the average of a large number of confidence ratings over repeated trials of the same task, with the intuition that people that give higher confidence ratings are more confident. But this is known to be problematic. Imagine that two people give the same confidence ratings on average, but one person is much better at the task. Here we would want to say that the person who is better at the task is underconfident compared to the other person, but mean confidence cannot capture this difference. It is also confounded by metacognitive sensitivity: people who are better able to predict whether their decision is correct by definition have higher mean confidence! In response, I’ve developed a new model-based measure of metacognitive bias based on the meta-d’ model described above (O’Neill, Zhan, & Fleming, 2026). Importantly, it is just as sensitive to differences in confidence criterion (Panels C-D) setting as mean confidence (Panels A-B):

But critically, unlike mean confidence (Panels A-C), our new measure is unconfounded by task-level sensitivity, response bias, and metacognitive sensitivity (Panels D-F):

Thankfully, testing our measure on a longitudinal dataset, we found that it has high test-retest reliability:

In addition to contributing to theories of confidence formation and reporting, I hope that these psychological measures can increase the reliability and validity of metacognition research.
References:
- Łuczak, W., O’Neill, K., & Fleming, S. M. (2026). Confidence is detection-like in high-dimensional spaces. arXiv e-prints, arXiv-2410.
- Maniscalco, B., & Lau, H. (2012). A signal detection theoretic approach for estimating metacognitive sensitivity from confidence ratings. Consciousness and cognition, 21(1), 422-430.
- O’Neill, K. & Fleming, S. (2026). hmetad: Fit the meta-d’ model of confidence ratings using ‘brms’. R package version 0.1.0.9000
- O’Neill, K., Zhan, T., & Fleming, S. (2026). A measure of metacognitive bias you can be confident in.
